Formula Sheet For Integration
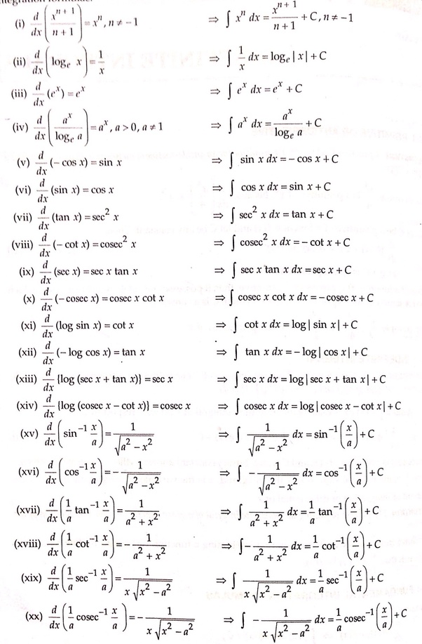
Formula Sheet For Integration - Knowing which function to call u and which to call dv takes some practice. Common integrals indefinite integral method of substitution ∫ f ( g ( x )) g ′ ( x ) dx = ∫ f ( u ) du integration by parts ∫ f ( x ) g ′ ( x ) dx = f ( x ) g ( x ) − ∫ g ( x ) f ′ ( x ) dx integrals of rational and irrational. ∫ x n dx = (. ∫ a dx = ax+ c. ∫ 1 dx = x + c. U inverse trig function (sin ,arccos , 1 xxetc) logarithmic functions (log3 ,ln( 1),xx etc). Web the list of basic integral formulas is given below: Here is a general guide:
Knowing which function to call u and which to call dv takes some practice. Common integrals indefinite integral method of substitution ∫ f ( g ( x )) g ′ ( x ) dx = ∫ f ( u ) du integration by parts ∫ f ( x ) g ′ ( x ) dx = f ( x ) g ( x ) − ∫ g ( x ) f ′ ( x ) dx integrals of rational and irrational. Here is a general guide: ∫ a dx = ax+ c. U inverse trig function (sin ,arccos , 1 xxetc) logarithmic functions (log3 ,ln( 1),xx etc). Web the list of basic integral formulas is given below: ∫ 1 dx = x + c. ∫ x n dx = (.
Here is a general guide: ∫ 1 dx = x + c. U inverse trig function (sin ,arccos , 1 xxetc) logarithmic functions (log3 ,ln( 1),xx etc). Common integrals indefinite integral method of substitution ∫ f ( g ( x )) g ′ ( x ) dx = ∫ f ( u ) du integration by parts ∫ f ( x ) g ′ ( x ) dx = f ( x ) g ( x ) − ∫ g ( x ) f ′ ( x ) dx integrals of rational and irrational. ∫ x n dx = (. Web the list of basic integral formulas is given below: ∫ a dx = ax+ c. Knowing which function to call u and which to call dv takes some practice.
Integration Formulas PDF Download, List for Class 12
Common integrals indefinite integral method of substitution ∫ f ( g ( x )) g ′ ( x ) dx = ∫ f ( u ) du integration by parts ∫ f ( x ) g ′ ( x ) dx = f ( x ) g ( x ) − ∫ g ( x ) f ′ ( x.
/tb0401b
∫ x n dx = (. U inverse trig function (sin ,arccos , 1 xxetc) logarithmic functions (log3 ,ln( 1),xx etc). Web the list of basic integral formulas is given below: ∫ 1 dx = x + c. Common integrals indefinite integral method of substitution ∫ f ( g ( x )) g ′ ( x ) dx = ∫.
Integration Formula For Trigonometry Function
Web the list of basic integral formulas is given below: Common integrals indefinite integral method of substitution ∫ f ( g ( x )) g ′ ( x ) dx = ∫ f ( u ) du integration by parts ∫ f ( x ) g ′ ( x ) dx = f ( x ) g ( x ).
Breathtaking Dx Formula Physics Exothermic And Endothermic Reactions
Common integrals indefinite integral method of substitution ∫ f ( g ( x )) g ′ ( x ) dx = ∫ f ( u ) du integration by parts ∫ f ( x ) g ′ ( x ) dx = f ( x ) g ( x ) − ∫ g ( x ) f ′ ( x.
Integration Formula For Trigonometry Function
Knowing which function to call u and which to call dv takes some practice. ∫ 1 dx = x + c. ∫ x n dx = (. Web the list of basic integral formulas is given below: Common integrals indefinite integral method of substitution ∫ f ( g ( x )) g ′ ( x ) dx = ∫ f.
[PDF] Differentiation & Integration Formulas With Examples PDF Download
∫ x n dx = (. Here is a general guide: ∫ a dx = ax+ c. U inverse trig function (sin ,arccos , 1 xxetc) logarithmic functions (log3 ,ln( 1),xx etc). Knowing which function to call u and which to call dv takes some practice.
Integration Rules, Properties, Formulas and Methods of Integration
U inverse trig function (sin ,arccos , 1 xxetc) logarithmic functions (log3 ,ln( 1),xx etc). Web the list of basic integral formulas is given below: ∫ a dx = ax+ c. Here is a general guide: Knowing which function to call u and which to call dv takes some practice.
Image Gallery integration formulas
Here is a general guide: Knowing which function to call u and which to call dv takes some practice. U inverse trig function (sin ,arccos , 1 xxetc) logarithmic functions (log3 ,ln( 1),xx etc). Common integrals indefinite integral method of substitution ∫ f ( g ( x )) g ′ ( x ) dx = ∫ f ( u ).
Maths Formula Integration Formula for HSC Board HSC Higher
U inverse trig function (sin ,arccos , 1 xxetc) logarithmic functions (log3 ,ln( 1),xx etc). ∫ 1 dx = x + c. Common integrals indefinite integral method of substitution ∫ f ( g ( x )) g ′ ( x ) dx = ∫ f ( u ) du integration by parts ∫ f ( x ) g ′ (.
Here Is A General Guide:
∫ 1 dx = x + c. Web the list of basic integral formulas is given below: ∫ x n dx = (. Common integrals indefinite integral method of substitution ∫ f ( g ( x )) g ′ ( x ) dx = ∫ f ( u ) du integration by parts ∫ f ( x ) g ′ ( x ) dx = f ( x ) g ( x ) − ∫ g ( x ) f ′ ( x ) dx integrals of rational and irrational.
U Inverse Trig Function (Sin ,Arccos , 1 Xxetc) Logarithmic Functions (Log3 ,Ln( 1),Xx Etc).
∫ a dx = ax+ c. Knowing which function to call u and which to call dv takes some practice.






